Astronomy 8100: Stellar Structure and Evolution

Prof. Paul J. Wiita

Announcements

  • The final examination has been posted below. It is due at 10:30 AM on April 28th, but certainly may be handed in sooner. Good luck!
  • All of the eleven term papers are also available below, so you can work on the last question of the final exam.
    I hope you each will eventually read ALL of them, since you'll learn something useful from each one.
  • Corrections on structure notes on page 74:
    As noted in class it should have been b^4 in the denominator of the integrand in (30)
    and therefore b^3 in the denominator of the final expression on that line.
    Please correct your notes accordingly.
    The expression in (30a) below is correct as an integral over 2 pi b db is done
    before getting to it -- that wasn't clear in the notes and I got confused in class,
    but doing this takes care of those other two powers of b.

    Syllabus

  • Astronomy 8100 Spring 2008 Syllabus as a downloadable postscript or
  • PDF file.

    Assignments and Final Examination

  • The final examination as a PDF file. -->
  • The fourth assignment as a PDF file.
  • The third assignment as a PDF file.
  • The second assignment as a PDF file.
  • The first assignment as a PDF file; however, the plots for the last problem must be obtained as a hard copy.

    Notes (pdf version)

  • REVIEW OF STELLAR PROPERTIES
  • BASIC STELLAR STRUCTURE EQUATIONS
  • ENERGY CONSERVATION AND TRANSPORT
  • HOW TO BUILD A STELLAR MODEL
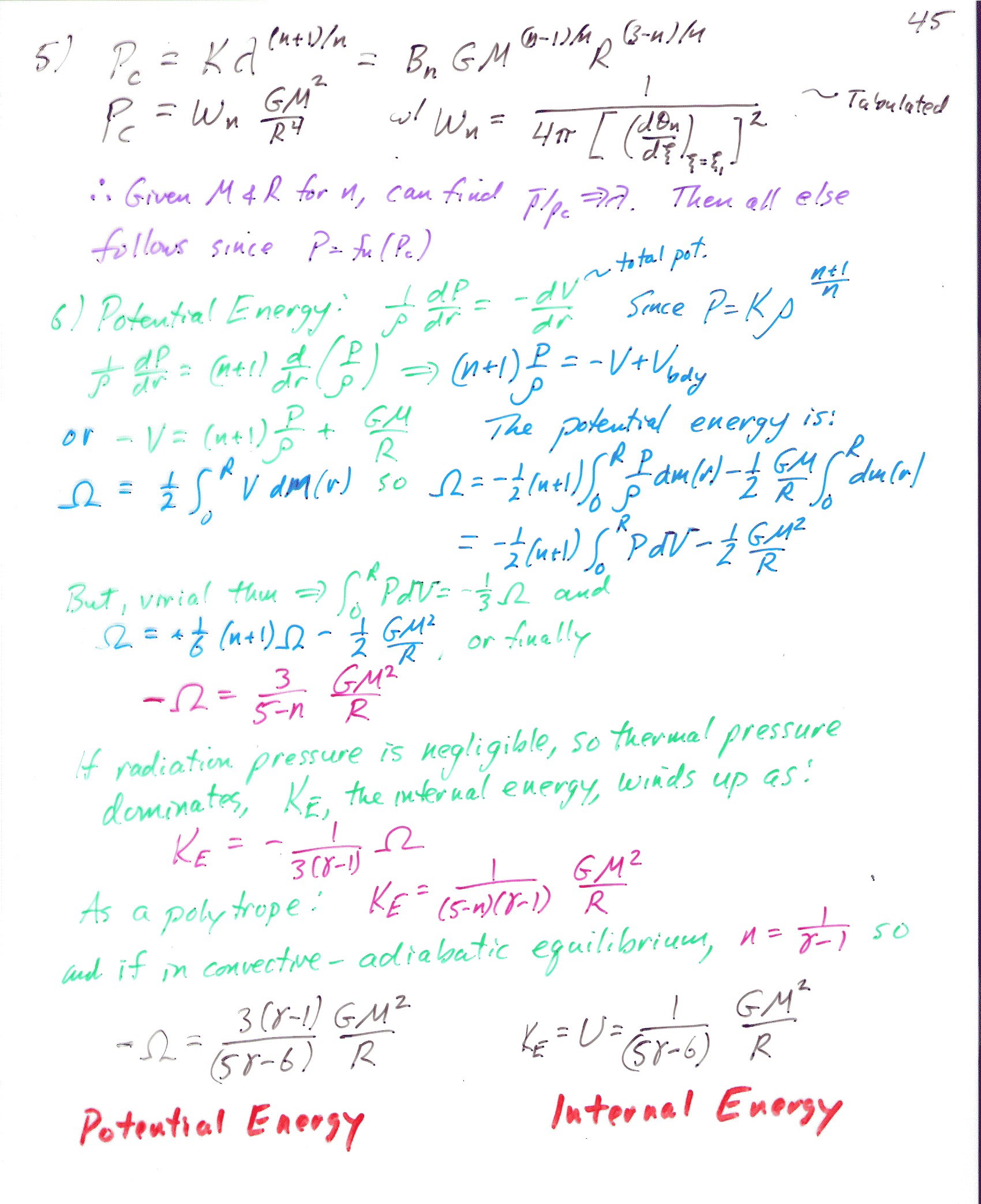
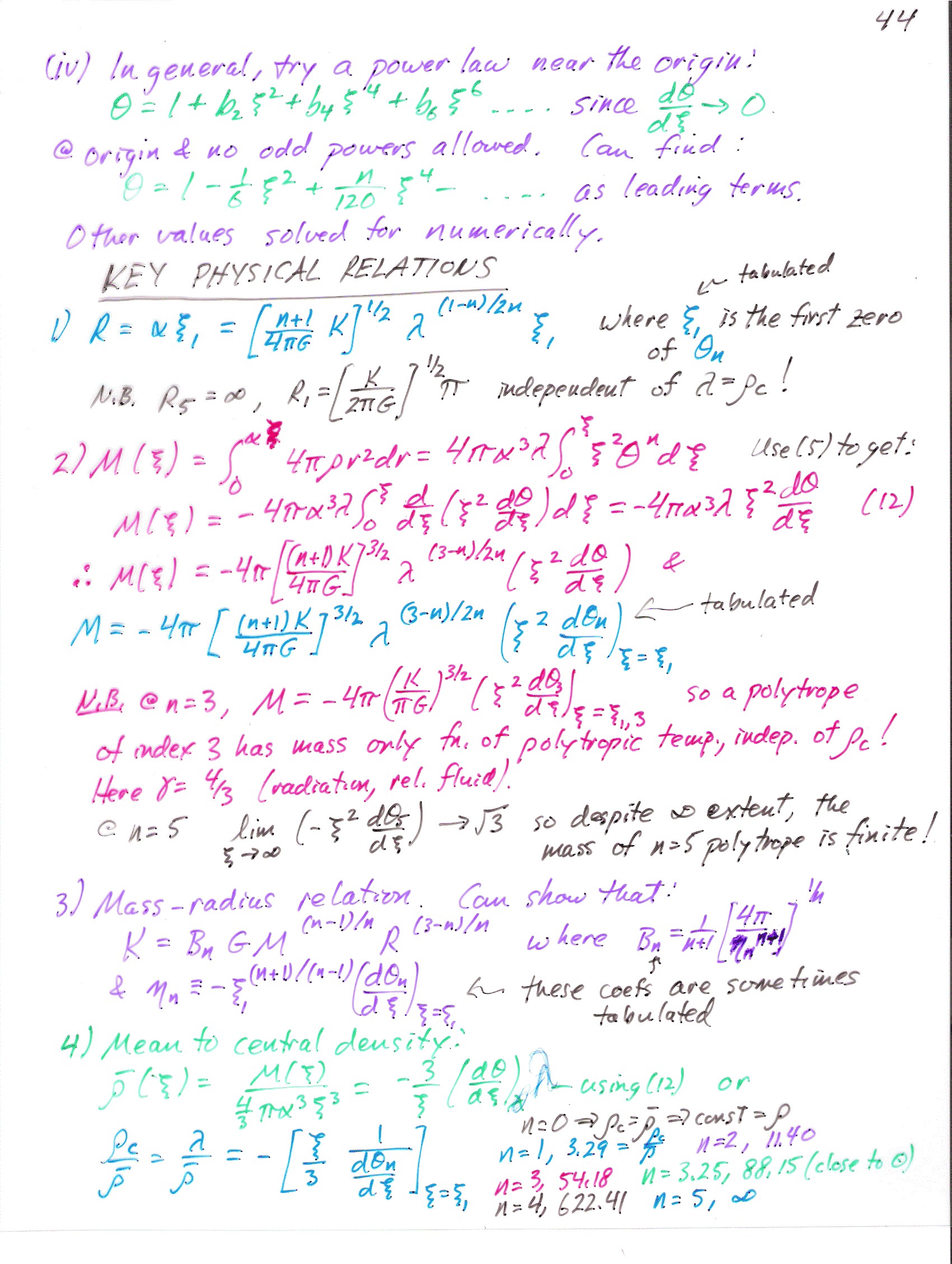
  • INTERIOR VARIABLES AND POLYTROPIC MODELS
  • ENERGY GENERATION I
  • ENERGY GENERATION II
  • ENERGY TRANSPORT
  • OPACITY SOURCES
  • ROTATING STARS I
  • ROTATING STARS II
  • The Stellar Evolution Notes (through p. 93) as a big PDF file.

    Notes (jpeg version)

  • REVIEW OF STELLAR PROPERTIES, p. 1__ p. 1a&b__ p. 1c__ p. 2__ p. 3__ p. 4__ Binary Stars, p. 5__ p. 6__ p. 7__
  • BASIC STELLAR STRUCTURE EQUATIONS, p. 8__ p.9__ Equations of State, p.10__ p.11__ p.12__ p.13__ p.14__ p.15__
  • Momentum and Energy Conservation, p.16__ p.17__ p.18__ Energy Transport, p.19__ p.20__ p.21__ p.22__ p.23__ p.24__
  • BUILDING STELLAR MODELS p.25__ p.26__ p.27__ p.28__ p.29__ p.30__ Simplest Complete Solutions p.31__ p.32__ p.33__ p.34__
  • Limits on Interior Variables p.35__ p.36__ p.37__ p.38__ p.39__ Polytropic Models p.40__ p.41__ p.42__ p.43__ p.44__ p.45__
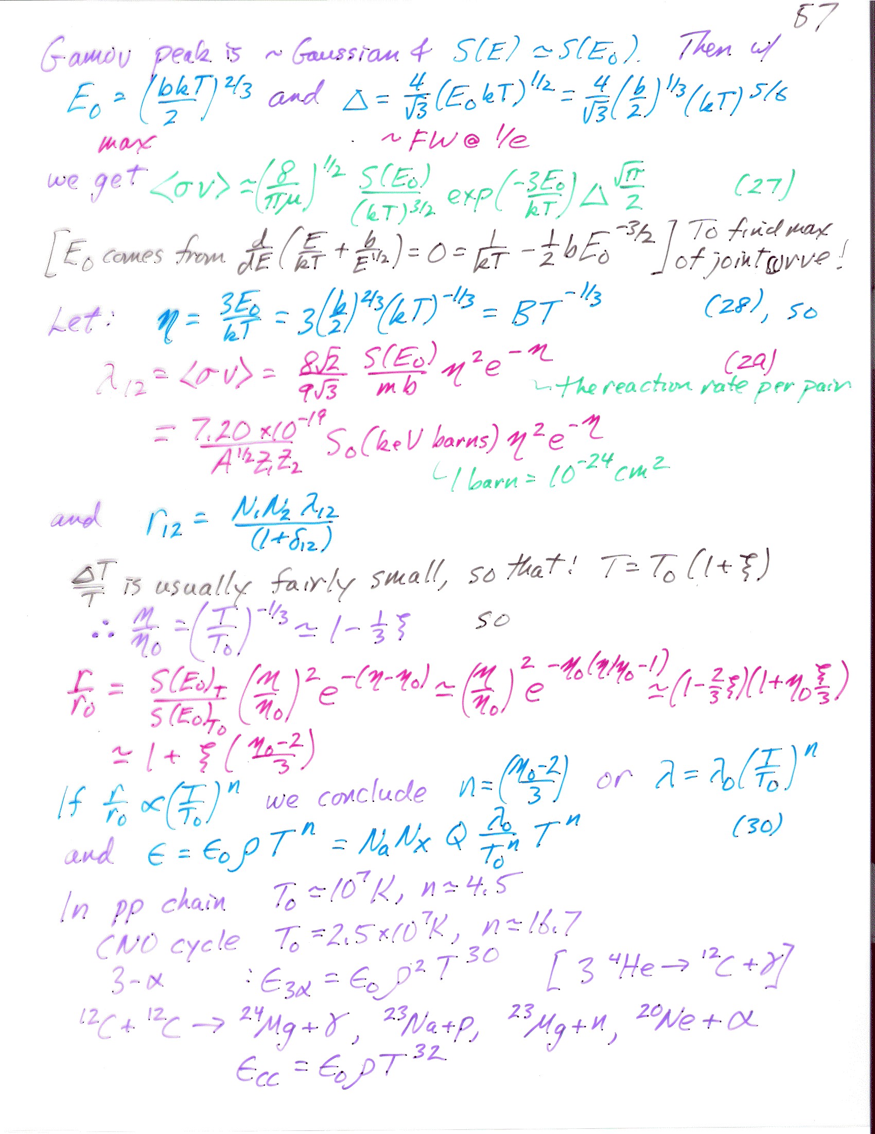
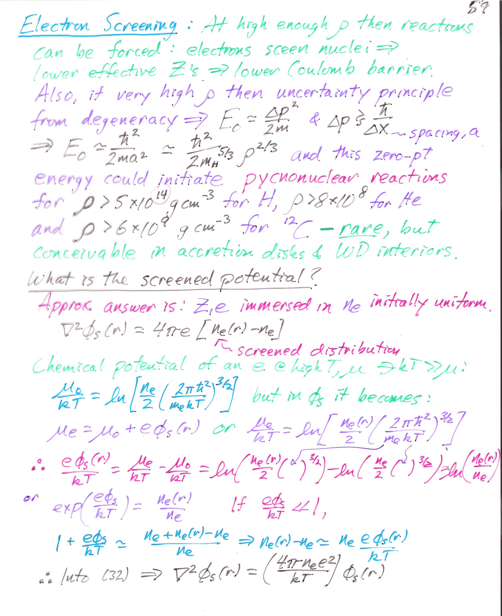
  • ENERGY GENERATION p.46__ p.47__ Nuclear Energy Generation p.48__ p.49__ p.50__ p.51__
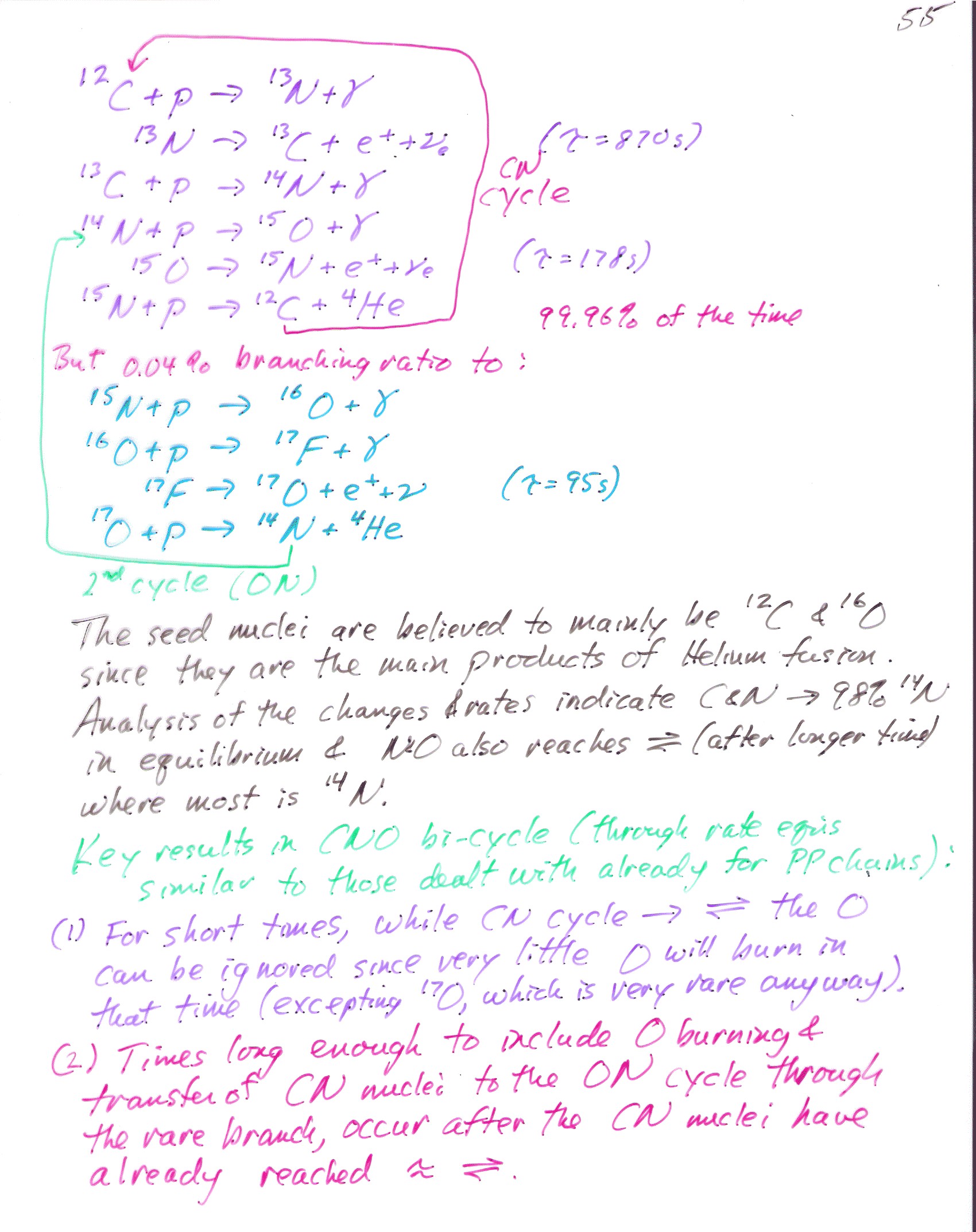
  • pp-chains and CNO bi-cycle p.52__ p.53__ p.54__ p.54a__ p.55__ Reaction Rates p.56__ p.57__ p.58__ p.59__ p.60__ p.61__ p.62__
  • ENERGY TRANSPORT p.63__ p.64__ p.65__ p.66__ p.67__ p.68__ p.69__ Opacity Sources p.70__
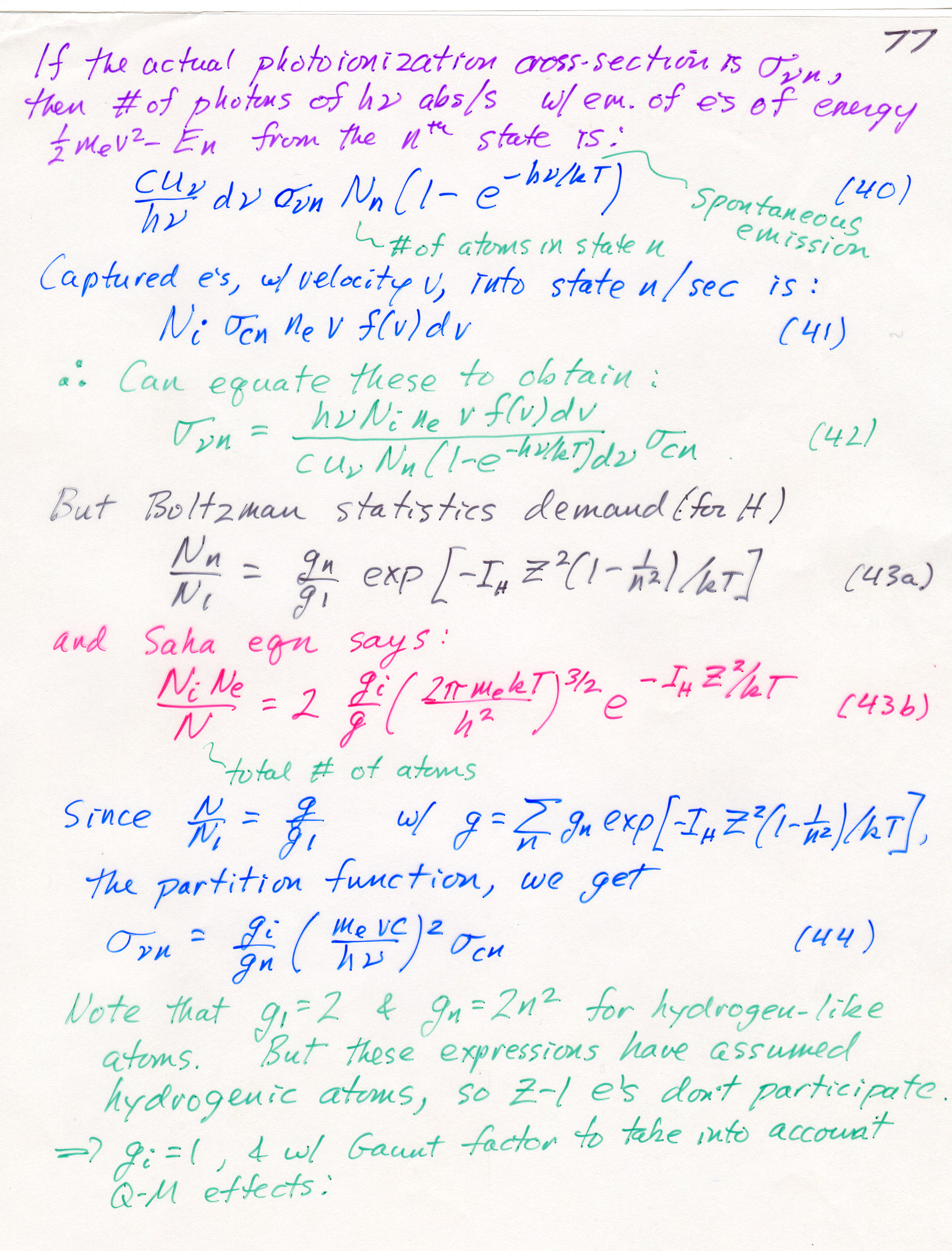
  • Bound-bound p.71__ p.72__ Electron & Rayleigh Scattering p.73__ Free-free p.74__ p.75__ Bound-free p.76__ p.77__ p.78__
  • ROTATING STARS, p.79__ p.80__ p.81__ p.82__ p.83__ p.84__ p.85__ p.86__ p.87__
  • Quasi-spherical approximation p.88__ p.89__ p.90__ p.91__

  • STELLAR EVOLUTION (new pagination) p.1__ p.2__ p.3__ p.4__ p.5__
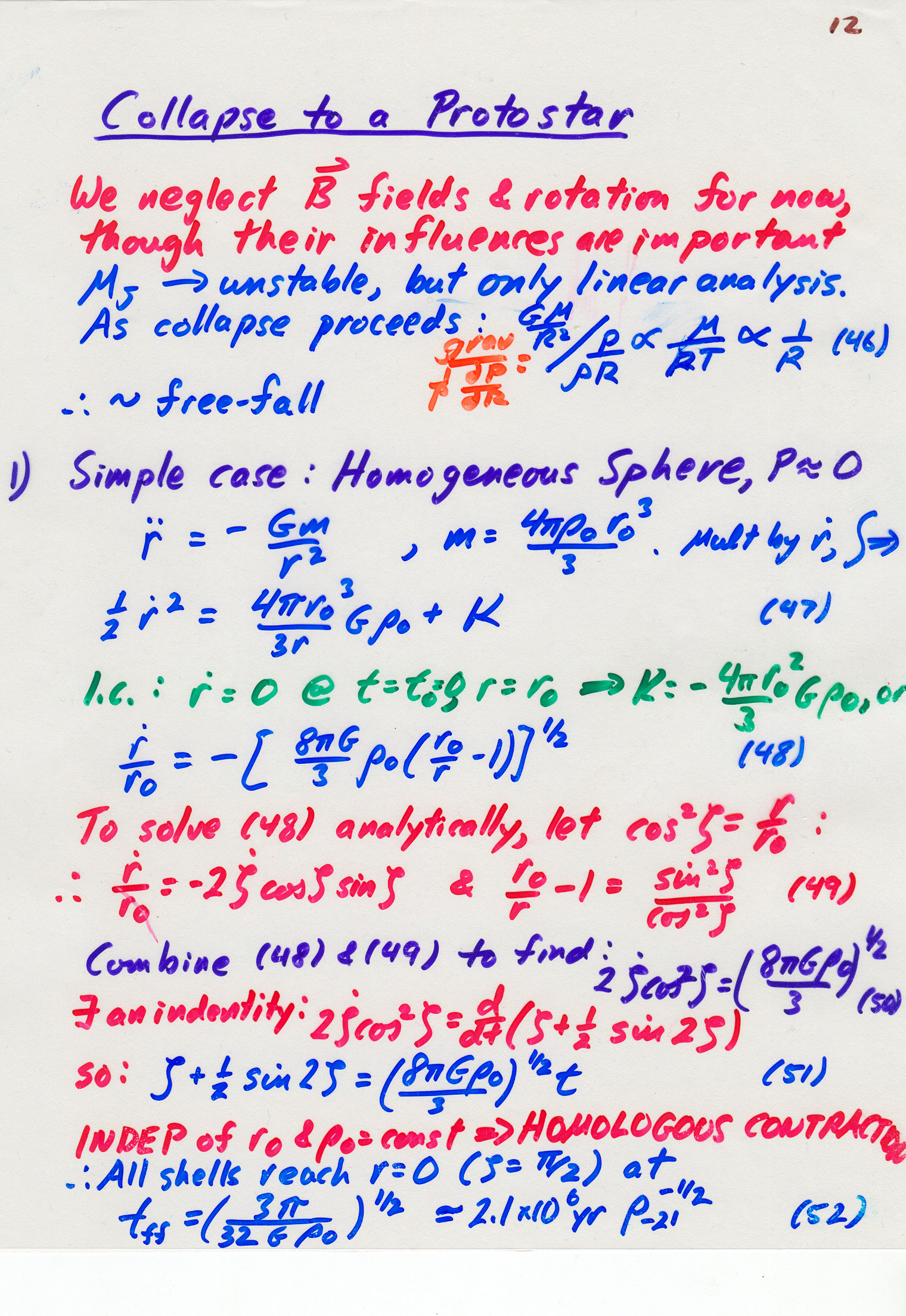
  • PRE-MAIN SEQUENCE p.6__ p.7__ p.8__ Jeans Mass p.9__ p.10__ p.11__ Collapse to a Protostar p.12__ p.13__
  • Numerical Results p.14__ p.15__ p.16__ Hyashi Lines p.17__ p.18__ p.19__ p.20__ p.21__ p.22__ p.23__
  • Pre-MS Contraction p.24__ p.25__ p.26__ p.27__ Observational Consequences p.28__
  • MAIN SEQUENCE EVOLUTION p.29__ p.30__ p.31__ End of the Main Sequence p.32__ p.33__ p.34__ p.35__
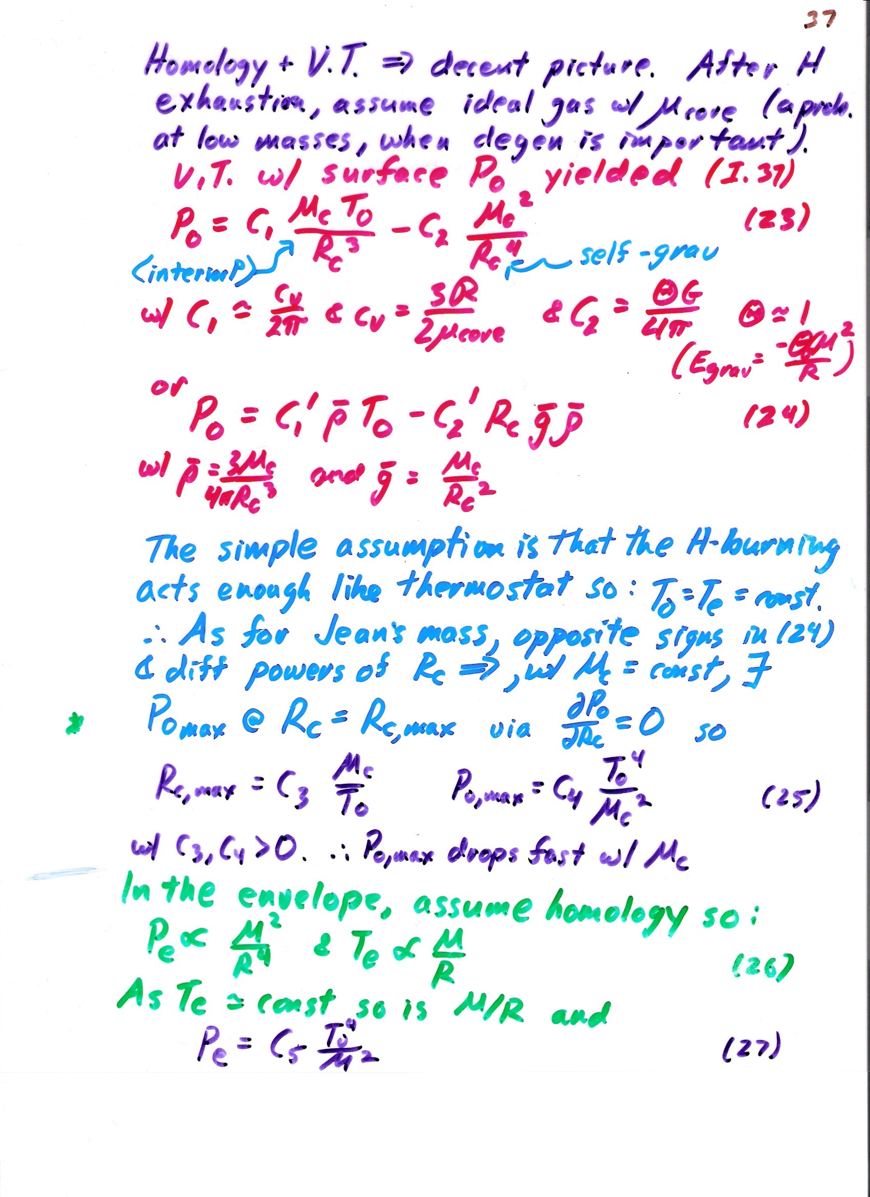
  • Schoenberg-Chandrasekhar Limit p.36__ p.37__ p.38__
  • POST MAIN-SEQUENCE EVOLUTION p.39__ High Mass Star Evolution p.40__ p.41__ p.42__ p.43__ Cepheid Variables p.44__ p.45__
  • Low Mass Star Evolution p.46__ Homologous Shell Source Models p.47__ p.48__ p.49__ p.50__ p.51__ p.52__
  • Helium Flash p.53__ p.54__ p.55__ p.56__ Massive Stars: FInal Stages p.57__ p.58__

    Term Papers

  • Are ALL now available! Most are .pdf's, but a few are .doc's and one's an .odt (which Word should open).
  • You may have trouble viewing a couple of the pdf's unless you use Acrobat Reader.
  • Xu's paper on theory of microquasars
  • Fischer's paper on observations of microquasars
  • Oakley's paper on theory of the stellar upper mass limit
  • Bowsher's paper on observations of the stellar upper mass limit
  • Riedel's paper on the theory of the lower mass limit
  • Cantrell's paper on observations of the lower mass limit
  • Parks's paper on theory of rotating stars
  • Matson's paper on observations of rotating stars
  • Richardson's paper on observations of pulsating stars
  • Eggens's paper on theory of pulsating stars
  • Maune's paper on subdwarfs